What Is The Buoyant Force Acting On The Block . However, because pressure increases with depth, the upward push on the bottom surface (f2) is greater than the downward push on the top surface (f1). mathematically, the buoyant force on a floating (or submerged) object is where is the density of the fluid, is the submerged volume of the. if you're seeing this message, it means we're having trouble loading external resources on our website. The fluid pushes on all sides of a submerged object. according to archimedes' principle, when an object is partially or wholly immersed in a fluid, it displaces some of the fluid. buoyancy, otherwise called the upthrust, is the force acting in a direction opposite to the gravitational force that. If you're behind a web filter,. the buoyant force depends on the density of the fluid, the gravitational constant, and the volume of the fluid element. physics questions and answers.
from www.chegg.com
physics questions and answers. according to archimedes' principle, when an object is partially or wholly immersed in a fluid, it displaces some of the fluid. mathematically, the buoyant force on a floating (or submerged) object is where is the density of the fluid, is the submerged volume of the. if you're seeing this message, it means we're having trouble loading external resources on our website. However, because pressure increases with depth, the upward push on the bottom surface (f2) is greater than the downward push on the top surface (f1). buoyancy, otherwise called the upthrust, is the force acting in a direction opposite to the gravitational force that. The fluid pushes on all sides of a submerged object. If you're behind a web filter,. the buoyant force depends on the density of the fluid, the gravitational constant, and the volume of the fluid element.
Solved What is the buoyant force acting on the block?View
What Is The Buoyant Force Acting On The Block if you're seeing this message, it means we're having trouble loading external resources on our website. buoyancy, otherwise called the upthrust, is the force acting in a direction opposite to the gravitational force that. The fluid pushes on all sides of a submerged object. if you're seeing this message, it means we're having trouble loading external resources on our website. mathematically, the buoyant force on a floating (or submerged) object is where is the density of the fluid, is the submerged volume of the. If you're behind a web filter,. according to archimedes' principle, when an object is partially or wholly immersed in a fluid, it displaces some of the fluid. However, because pressure increases with depth, the upward push on the bottom surface (f2) is greater than the downward push on the top surface (f1). physics questions and answers. the buoyant force depends on the density of the fluid, the gravitational constant, and the volume of the fluid element.
From www.sliderbase.com
Buoyancy Presentation Physics What Is The Buoyant Force Acting On The Block mathematically, the buoyant force on a floating (or submerged) object is where is the density of the fluid, is the submerged volume of the. physics questions and answers. The fluid pushes on all sides of a submerged object. buoyancy, otherwise called the upthrust, is the force acting in a direction opposite to the gravitational force that. . What Is The Buoyant Force Acting On The Block.
From www.sciencefacts.net
Buoyancy and Buoyant Force Definition, Examples, and Formula What Is The Buoyant Force Acting On The Block buoyancy, otherwise called the upthrust, is the force acting in a direction opposite to the gravitational force that. mathematically, the buoyant force on a floating (or submerged) object is where is the density of the fluid, is the submerged volume of the. However, because pressure increases with depth, the upward push on the bottom surface (f2) is greater. What Is The Buoyant Force Acting On The Block.
From www.sciencefacts.net
Buoyancy and Buoyant Force Definition, Examples, and Formula What Is The Buoyant Force Acting On The Block buoyancy, otherwise called the upthrust, is the force acting in a direction opposite to the gravitational force that. according to archimedes' principle, when an object is partially or wholly immersed in a fluid, it displaces some of the fluid. The fluid pushes on all sides of a submerged object. If you're behind a web filter,. if you're. What Is The Buoyant Force Acting On The Block.
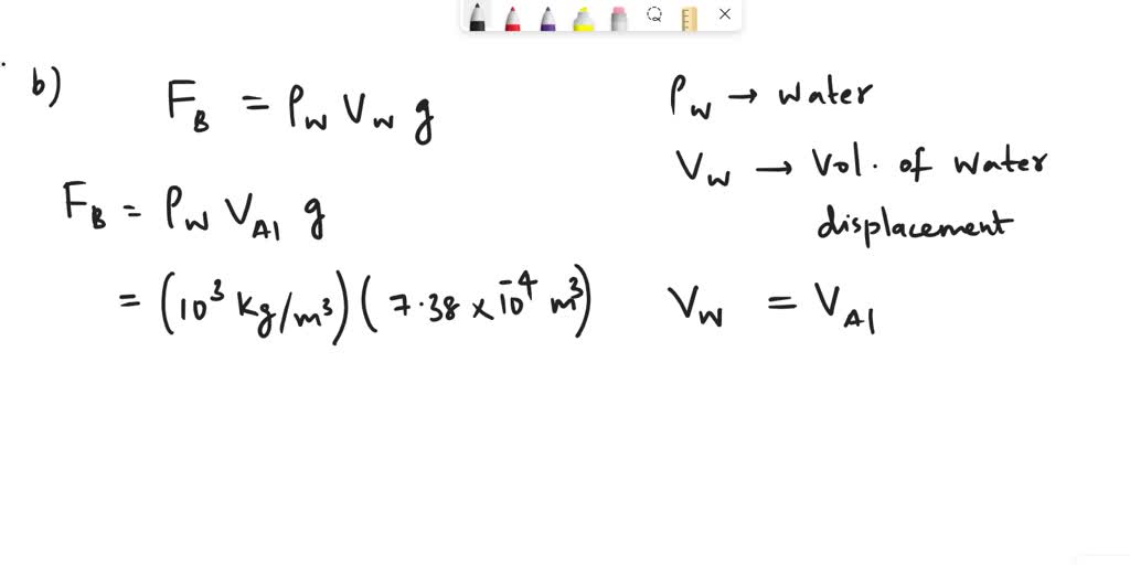
From www.numerade.com
SOLVED An aluminum block of mass 2 kg is suspended from a string as shown in the diagram below What Is The Buoyant Force Acting On The Block buoyancy, otherwise called the upthrust, is the force acting in a direction opposite to the gravitational force that. if you're seeing this message, it means we're having trouble loading external resources on our website. mathematically, the buoyant force on a floating (or submerged) object is where is the density of the fluid, is the submerged volume of. What Is The Buoyant Force Acting On The Block.
From www.sciencefacts.net
Buoyancy and Buoyant Force Definition, Examples, and Formula What Is The Buoyant Force Acting On The Block The fluid pushes on all sides of a submerged object. However, because pressure increases with depth, the upward push on the bottom surface (f2) is greater than the downward push on the top surface (f1). physics questions and answers. mathematically, the buoyant force on a floating (or submerged) object is where is the density of the fluid, is. What Is The Buoyant Force Acting On The Block.
From www.chegg.com
Solved Prove that the buoyant force acting on the block, Fe, What Is The Buoyant Force Acting On The Block However, because pressure increases with depth, the upward push on the bottom surface (f2) is greater than the downward push on the top surface (f1). the buoyant force depends on the density of the fluid, the gravitational constant, and the volume of the fluid element. physics questions and answers. mathematically, the buoyant force on a floating (or. What Is The Buoyant Force Acting On The Block.
From owlcation.com
Archimedes' Principle and Understanding Buoyant Force Owlcation What Is The Buoyant Force Acting On The Block according to archimedes' principle, when an object is partially or wholly immersed in a fluid, it displaces some of the fluid. If you're behind a web filter,. The fluid pushes on all sides of a submerged object. mathematically, the buoyant force on a floating (or submerged) object is where is the density of the fluid, is the submerged. What Is The Buoyant Force Acting On The Block.
From www.showme.com
Buoyant force problem with wood block Science, Physics, Fluids ShowMe What Is The Buoyant Force Acting On The Block mathematically, the buoyant force on a floating (or submerged) object is where is the density of the fluid, is the submerged volume of the. if you're seeing this message, it means we're having trouble loading external resources on our website. the buoyant force depends on the density of the fluid, the gravitational constant, and the volume of. What Is The Buoyant Force Acting On The Block.
From www.geeksforgeeks.org
Buoyant Force Definition, Demonstration, Types and Applications What Is The Buoyant Force Acting On The Block if you're seeing this message, it means we're having trouble loading external resources on our website. If you're behind a web filter,. mathematically, the buoyant force on a floating (or submerged) object is where is the density of the fluid, is the submerged volume of the. buoyancy, otherwise called the upthrust, is the force acting in a. What Is The Buoyant Force Acting On The Block.
From www.numerade.com
SOLVED 0.47kg block of wood is floating magnitude of the buoyant in water; What force acting What Is The Buoyant Force Acting On The Block if you're seeing this message, it means we're having trouble loading external resources on our website. buoyancy, otherwise called the upthrust, is the force acting in a direction opposite to the gravitational force that. mathematically, the buoyant force on a floating (or submerged) object is where is the density of the fluid, is the submerged volume of. What Is The Buoyant Force Acting On The Block.
From congdongxuatnhapkhau.com
Why Is Buoyant Force So Important In Physics And Everyday Life? What Is The Buoyant Force Acting On The Block buoyancy, otherwise called the upthrust, is the force acting in a direction opposite to the gravitational force that. However, because pressure increases with depth, the upward push on the bottom surface (f2) is greater than the downward push on the top surface (f1). The fluid pushes on all sides of a submerged object. If you're behind a web filter,.. What Is The Buoyant Force Acting On The Block.
From eduinput.com
Buoyant ForceDefinition, Cause, Demonstration, And Applications What Is The Buoyant Force Acting On The Block buoyancy, otherwise called the upthrust, is the force acting in a direction opposite to the gravitational force that. mathematically, the buoyant force on a floating (or submerged) object is where is the density of the fluid, is the submerged volume of the. physics questions and answers. the buoyant force depends on the density of the fluid,. What Is The Buoyant Force Acting On The Block.
From www.slideserve.com
PPT Fluids and Buoyant Force PowerPoint Presentation, free download ID2755474 What Is The Buoyant Force Acting On The Block buoyancy, otherwise called the upthrust, is the force acting in a direction opposite to the gravitational force that. mathematically, the buoyant force on a floating (or submerged) object is where is the density of the fluid, is the submerged volume of the. according to archimedes' principle, when an object is partially or wholly immersed in a fluid,. What Is The Buoyant Force Acting On The Block.
From www.slideserve.com
PPT PHYSICS 231 Lecture 24 Buoyancy and Fluid Motion PowerPoint Presentation ID3523955 What Is The Buoyant Force Acting On The Block The fluid pushes on all sides of a submerged object. However, because pressure increases with depth, the upward push on the bottom surface (f2) is greater than the downward push on the top surface (f1). If you're behind a web filter,. if you're seeing this message, it means we're having trouble loading external resources on our website. mathematically,. What Is The Buoyant Force Acting On The Block.
From www.slideserve.com
PPT 12.3 Buoyancy is a force PowerPoint Presentation, free download ID6662890 What Is The Buoyant Force Acting On The Block if you're seeing this message, it means we're having trouble loading external resources on our website. physics questions and answers. If you're behind a web filter,. The fluid pushes on all sides of a submerged object. the buoyant force depends on the density of the fluid, the gravitational constant, and the volume of the fluid element. However,. What Is The Buoyant Force Acting On The Block.
From www.youtube.com
Derivation of the Buoyancy Force (Archimedes' Principle) YouTube What Is The Buoyant Force Acting On The Block However, because pressure increases with depth, the upward push on the bottom surface (f2) is greater than the downward push on the top surface (f1). mathematically, the buoyant force on a floating (or submerged) object is where is the density of the fluid, is the submerged volume of the. If you're behind a web filter,. the buoyant force. What Is The Buoyant Force Acting On The Block.
From exoznvkoi.blob.core.windows.net
What Is Buoyant Force Class 4 at Archie Gonzales blog What Is The Buoyant Force Acting On The Block The fluid pushes on all sides of a submerged object. If you're behind a web filter,. buoyancy, otherwise called the upthrust, is the force acting in a direction opposite to the gravitational force that. mathematically, the buoyant force on a floating (or submerged) object is where is the density of the fluid, is the submerged volume of the.. What Is The Buoyant Force Acting On The Block.
From sites.google.com
Fluid Mechanics & Gas Laws Cole's Physics II site What Is The Buoyant Force Acting On The Block according to archimedes' principle, when an object is partially or wholly immersed in a fluid, it displaces some of the fluid. mathematically, the buoyant force on a floating (or submerged) object is where is the density of the fluid, is the submerged volume of the. If you're behind a web filter,. However, because pressure increases with depth, the. What Is The Buoyant Force Acting On The Block.